0 of 25 Questions completed
Questions:
You have already completed the quiz before. Hence you can not start it again.
Quiz is loading…
You must sign in or sign up to start the quiz.
You must first complete the following:
0 of 25 Questions answered correctly
Your time:
Time has elapsed
You have reached 0 of 0 point(s), (0)
Earned Point(s): 0 of 0, (0)
0 Essay(s) Pending (Possible Point(s): 0)
第 1 题 已知写字母 b 的ASCII码为98,下列C++代码的输出结果是( )。
1 2 3 4 5 6 7 |
#include <iostream> using namespace std; int main() { char a = 'b'; cout << a + 1; return 0; } |
第 2 题 已知 a 为 int 类型变量, p 为 int * 类型变量,下列赋值语句不符合语法的是( )。
第 3 题 已知数组 a 的定义 int a[10] = {0}; ,下列说法不正确的是( )。
第 4 题 下列关于C++类的说法,错误的是( )。
第 5 题 下列关于有向图的说法,错误的是( )。
第 6 题 一棵二叉树的每个结点均满足:结点的左子树和右子树,要么同时存在,要么同时不存在。该树有197个结 点,则其叶结点有多少个?( )
第 7 题 下列关于二叉树的说法,错误的是( )。
第 8 题 一个简单无向图有10个结点、6条边。在最差情况,至少增加多少条边可以使其连通?( )
第 9 题 一个哈希表,包括n个位置(分别编号0~(n-1)),每个位置最多仅能存储一个元素。该哈希表只有插入元素 和查询两种操作,没有删除或修改元素的操作。以下说法错误的是( )。
第 10 题 以下关于动态规划的说法中,错误的是( )。
第 11 题 下面程序的输出为( )。
1 2 3 4 5 6 7 |
#include <iostream> #include <cmath> using namespace std; int main() { cout << (int)exp(2) << endl; return 0; } |
第 12 题 下面程序的输出为( )。
1 2 3 4 5 6 7 8 9 10 11 12 |
#include <iostream> #define N 10 using namespace std; int h[N]; int main() { h[0] = h[1] = 1; for (int n = 2; n < N; n++) for (int j = 0; j < n; j++) h[n] += h[j] * h[n - j - 1]; cout << h[6] << endl; return 0; } |
第 13 题 上题中程序的时间复杂度为( )。
第 14 题 下面 init_sieve 函数的时间复杂度为( )。
1 2 3 4 5 6 7 8 |
int sieve[MAX_N]; void init_sieve(int n) { for (int i = 1; i <= n; i++) sieve[i] = i; for (int i = 2; i <= n; i++) for (int j = i; j <= n; j += i) sieve[j]--; } |
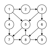
第 15 题 下列选项中,哪个不可能是下图的深度优先遍历序列( )。

第 16题 表达式 5 ^ 3 的结果为 125 。
第 17 题 在C++语言中,函数定义和函数调用可以不在同一个文件内。
第 18 题 在 n个元素中进二分查找,平均时间复杂度是 O(logn),但须要事先进排序。
第 19 题 unsigned long long 类型是C++语中表达范围最大的负整数类型之一,其表达范围是[0, 2^64-1],超出该范围的负整数运算,将无法使C++语进行计算。
第 20 题 使 math.h 或 cmath 头件中的函数,表达式 log2(32) 的结果为 5 、类型为 int 。
第 21 题 C++是一种向对象编程语言,C则不是。继承是向对象三特性之一。因此,使C语言无法实现继承。
第 22题 邻接表和邻接矩阵都是图的存储形式。邻接表在遍历单个顶点的所有边时,时间复杂度更低;邻接矩阵在判 断两个顶点之间是否有边时,时间复杂度更低。
第 23题 MD5是种常见的哈希函数,可以由任意长度的数据成128位的哈希值,曾泛应于数据完整性校验。 中国科学家的系列工作首次发现了可实用的MD5破解法。之后,MD5逐渐被其他哈希函数所取代。
第 24 题 递归调用在运时会由于层数过多导致程序崩溃,可以通过循环配合栈缓解这问题。
第 25 题 一个图中,每个顶点表达一个城市,连接两个顶点的边表达从一个城市到达另个城市的一种交通方式。 这个图可以来表达交通络,且是简单有向图。
